环形链表¶
最后更新:2023-12-02
链接:https://leetcode.cn/leetbook/read/top-interview-questions-easy/xnwzei/
题目描述
给你一个链表的头节点 head ,判断链表中是否有环。
如果链表中有某个节点,可以通过连续跟踪 next 指针再次到达,则链表中存在环。 为了表示给定链表中的环,评测系统内部使用整数 pos 来表示链表尾连接到链表中的位置(索引从 0 开始)。注意:pos 不作为参数进行传递。仅仅是为了标识链表的实际情况。
如果链表中存在环,则返回 true 。 否则,返回 false 。
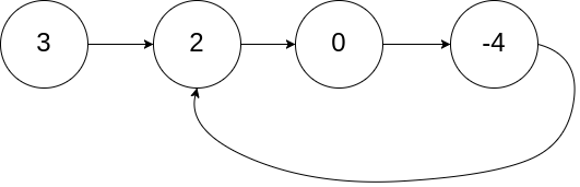
题目示例

输入: head = [3,2,0,-4], pos = 1
输出: true
解释: 链表中有一个环,其尾部连接到第二个节点。

输入: head = [1,2], pos = 0
输出: true
解释: 链表中有一个环,其尾部连接到第一个节点。

输入: head = [1], pos = -1
输出: false
解释: 链表中没有环。
提示:
- 链表中节点的数目范围是 \([0, 10^4]\)
- -\(10^5 <= Node.val <= 10^5\)
pos为-1或者链表中的一个 有效索引 。
进阶
你能用 \(O(1)\)(即,常量)内存解决此问题吗?